Integrals Rules Sheet
Integrals Rules Sheet - Web symbolab integrals cheat sheet common integrals: Web comparison test for improper integrals : ∫ f ( g ( x )) g ′ ( x ) dx = ∫ f ( u ) du. ∫ f ( x ) g ′ ( x ) dx = f ( x ) g ( x ) − ∫ g ( x ) f ′ ( x ) dx. ∫𝑥−1 𝑥=ln(𝑥) ∫ 𝑥 𝑥 =ln(𝑥) ∫ |𝑥 𝑥=𝑥√𝑥 2 2 ∫ 𝑥 𝑥= 𝑥 ∫sin(𝑥) 𝑥=−cos(𝑥) ∫cos(𝑥) 𝑥=sin(𝑥). If a fxdx ò¥ conv. Integrals of rational and irrational. If a > 0 then 1 a xp dx ò¥ converges if p >1 and. If a gxdx ò¥ divg. Then a gxdx ò¥ conv.
Integrals of rational and irrational. If f(x) ‡‡gx( ) 0on [a,¥) then, 1. ∫𝑥−1 𝑥=ln(𝑥) ∫ 𝑥 𝑥 =ln(𝑥) ∫ |𝑥 𝑥=𝑥√𝑥 2 2 ∫ 𝑥 𝑥= 𝑥 ∫sin(𝑥) 𝑥=−cos(𝑥) ∫cos(𝑥) 𝑥=sin(𝑥). If a gxdx ò¥ divg. If a > 0 then 1 a xp dx ò¥ converges if p >1 and. Then a fxdx ò¥ divg. ∫ f ( x ) g ′ ( x ) dx = f ( x ) g ( x ) − ∫ g ( x ) f ′ ( x ) dx. Web symbolab integrals cheat sheet common integrals: If a fxdx ò¥ conv. Then a gxdx ò¥ conv.
Then a fxdx ò¥ divg. If a fxdx ò¥ conv. ∫𝑥−1 𝑥=ln(𝑥) ∫ 𝑥 𝑥 =ln(𝑥) ∫ |𝑥 𝑥=𝑥√𝑥 2 2 ∫ 𝑥 𝑥= 𝑥 ∫sin(𝑥) 𝑥=−cos(𝑥) ∫cos(𝑥) 𝑥=sin(𝑥). If a gxdx ò¥ divg. Web comparison test for improper integrals : If a > 0 then 1 a xp dx ò¥ converges if p >1 and. Then a gxdx ò¥ conv. Web symbolab integrals cheat sheet common integrals: ∫ f ( g ( x )) g ′ ( x ) dx = ∫ f ( u ) du. If f(x) ‡‡gx( ) 0on [a,¥) then, 1.
Definite Integrals Math signs, Math formulas, Math methods
∫ f ( x ) g ′ ( x ) dx = f ( x ) g ( x ) − ∫ g ( x ) f ′ ( x ) dx. Integrals of rational and irrational. Web symbolab integrals cheat sheet common integrals: If a gxdx ò¥ divg. ∫𝑥−1 𝑥=ln(𝑥) ∫ 𝑥 𝑥 =ln(𝑥) ∫ |𝑥 𝑥=𝑥√𝑥 2 2.
Definite Integral Definition Properties And Solved Examples My XXX
If a > 0 then 1 a xp dx ò¥ converges if p >1 and. If a fxdx ò¥ conv. Web comparison test for improper integrals : Then a fxdx ò¥ divg. ∫𝑥−1 𝑥=ln(𝑥) ∫ 𝑥 𝑥 =ln(𝑥) ∫ |𝑥 𝑥=𝑥√𝑥 2 2 ∫ 𝑥 𝑥= 𝑥 ∫sin(𝑥) 𝑥=−cos(𝑥) ∫cos(𝑥) 𝑥=sin(𝑥).
Pin by Anna Tsingh on Maths Ap calculus, Math formulas, Differential
If a gxdx ò¥ divg. ∫ f ( g ( x )) g ′ ( x ) dx = ∫ f ( u ) du. Integrals of rational and irrational. ∫𝑥−1 𝑥=ln(𝑥) ∫ 𝑥 𝑥 =ln(𝑥) ∫ |𝑥 𝑥=𝑥√𝑥 2 2 ∫ 𝑥 𝑥= 𝑥 ∫sin(𝑥) 𝑥=−cos(𝑥) ∫cos(𝑥) 𝑥=sin(𝑥). Web symbolab integrals cheat sheet common integrals:
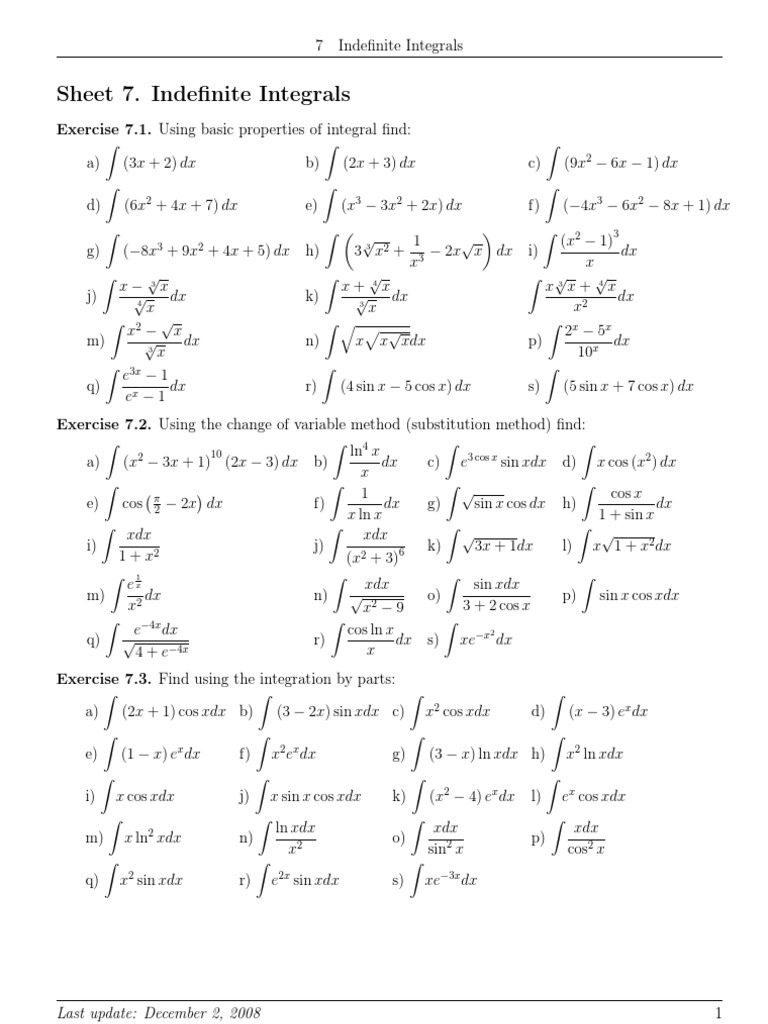
Sheet 7. Indefinite Integrals Mathematical Analysis Calculus
Web symbolab integrals cheat sheet common integrals: ∫ f ( g ( x )) g ′ ( x ) dx = ∫ f ( u ) du. If f(x) ‡‡gx( ) 0on [a,¥) then, 1. Web comparison test for improper integrals : If a > 0 then 1 a xp dx ò¥ converges if p >1 and.
Image
If a > 0 then 1 a xp dx ò¥ converges if p >1 and. Integrals of rational and irrational. Then a gxdx ò¥ conv. If f(x) ‡‡gx( ) 0on [a,¥) then, 1. ∫ f ( x ) g ′ ( x ) dx = f ( x ) g ( x ) − ∫ g ( x ) f.
Solved Determine which of the integrals can be found using
Then a fxdx ò¥ divg. Web symbolab integrals cheat sheet common integrals: If a gxdx ò¥ divg. Integrals of rational and irrational. If a fxdx ò¥ conv.
원 출처는 eeweb. 출력해 놓고 사용하면 유용할 듯 하다. 1. Algebra Properties Math Sheet 2
Then a gxdx ò¥ conv. If a > 0 then 1 a xp dx ò¥ converges if p >1 and. If a gxdx ò¥ divg. Then a fxdx ò¥ divg. If a fxdx ò¥ conv.
Integral cheat sheet Docsity
If a fxdx ò¥ conv. Web symbolab integrals cheat sheet common integrals: Then a gxdx ò¥ conv. ∫ f ( x ) g ′ ( x ) dx = f ( x ) g ( x ) − ∫ g ( x ) f ′ ( x ) dx. If a gxdx ò¥ divg.
Integration Rules A Plus Topper Integrationuvrule Math formula
If a fxdx ò¥ conv. Then a gxdx ò¥ conv. If a gxdx ò¥ divg. ∫𝑥−1 𝑥=ln(𝑥) ∫ 𝑥 𝑥 =ln(𝑥) ∫ |𝑥 𝑥=𝑥√𝑥 2 2 ∫ 𝑥 𝑥= 𝑥 ∫sin(𝑥) 𝑥=−cos(𝑥) ∫cos(𝑥) 𝑥=sin(𝑥). If a > 0 then 1 a xp dx ò¥ converges if p >1 and.
If A Fxdx Ò¥ Conv.
∫𝑥−1 𝑥=ln(𝑥) ∫ 𝑥 𝑥 =ln(𝑥) ∫ |𝑥 𝑥=𝑥√𝑥 2 2 ∫ 𝑥 𝑥= 𝑥 ∫sin(𝑥) 𝑥=−cos(𝑥) ∫cos(𝑥) 𝑥=sin(𝑥). Then a fxdx ò¥ divg. If a gxdx ò¥ divg. Then a gxdx ò¥ conv.
∫ F ( G ( X )) G ′ ( X ) Dx = ∫ F ( U ) Du.
If f(x) ‡‡gx( ) 0on [a,¥) then, 1. ∫ f ( x ) g ′ ( x ) dx = f ( x ) g ( x ) − ∫ g ( x ) f ′ ( x ) dx. Web comparison test for improper integrals : Web symbolab integrals cheat sheet common integrals:
Integrals Of Rational And Irrational.
If a > 0 then 1 a xp dx ò¥ converges if p >1 and.








