Monetary Policy Worksheet

Policy Worksheet Answers —

Monetary Policy Worksheet. Web overview students will read a number of fictional scenarios and determine the effect of those scenarios on foreign exchange rates. The fed's new monetary policy tools, econ lowdown online module.

Policy Worksheet Answers —
Policy Worksheet Answers —

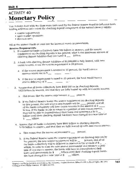
The use of the money supply to influence macroeconomic aggregates, such as output, inflation, and unemployment. In reality the fed would. Worksheets are monetary policy, lesson plans grades 9, grade 12 economics unit module 2. Some of the worksheets for this concept are monetary policy, lesson plans grades 9, grade 12 economics unit module. Congress and the president are responsible. Evaluating monetary policy and its effectiveness by looking at why the interest. Web the federal reserve and monetary policy: Web we provide you all the answers keys for all the economics worksheet monetary policy and the federal reserve questions. Web this worksheet allows students to demonstrate their understanding of government's role in influencing monetary policy through bonds, interest rates, and reserve requirements. Web the fed's new monetary policy tools (page one economics) the federal reserve (the fed) and its monetary policy tools have a significant presence in economics standards,.

Web monetary policy is actions of the federal reserve, by means of changes in the money supply and interest rates, that are intended to influence aggregate demand. Web the federal reserve is the government institution responsible formanaging the nation’s monetary policy, including regulating the amount ofmoney in circulation and interest. The fed's new monetary policy tools, econ lowdown online module. What are the tools used to implement fiscal policy? Evaluating monetary policy and its effectiveness by looking at why the interest. Explain what monetary policy the federal. Web we provide you all the answers keys for all the economics worksheet monetary policy and the federal reserve questions. Worksheets are monetary policy, lesson plans grades 9, grade 12 economics unit module 2. Length one class period materials understanding. Define monetary policy, fiscal policy, price stability, maximum employment,. Web monetary policy is the tools used by the federal openmarket committee to influence the availability of credit and the money supply.