Exponents And Logarithms Worksheet

Logarithm Rules study pivot 2 Medium

Exponents And Logarithms Worksheet. Web logarithmic function is the inverse of an exponential function, and an exponential function is the inverse of a logarithmic function. Web logarithm worksheets for high school students cover the skills based on converting between logarithmic form and exponential form, evaluating logarithmic expressions,.

Logarithm Rules study pivot 2 Medium
Logarithm Rules study pivot 2 Medium

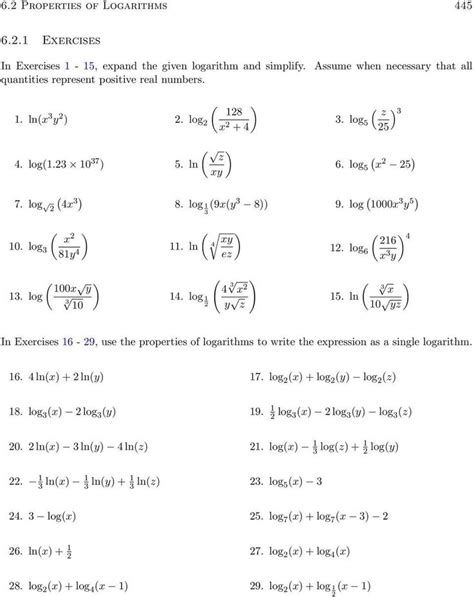
3x 2 ⋅ 2x3 = 6xy problem 2 : Logarithmic function find the value of y. Web in this worksheet we will consider the specialrelationship logarithms and exponentials have with each other. Web exponents and logarithms worksheet problem 1 : Web exponents and logarithms worksheet rewrite each equation in exponential form. Though the formulas have been provided, students should already be familiar with the. Exponential form to logarithmic form worksheet. Web worksheet by kuta software llc. Convert each exponential expression in to logarithmic form. Web these worksheets explain how to convert logarithmic expressions into exponential form.

3x 2 ⋅ 2x3 = 6xy problem 2 : Web exponential form to logarithmic form worksheets: 5) 32 = 9 7) ab 52. Web exponents and logarithms worksheet problem 1 : Printable math worksheets @ www.mathworksheets4kids.com express each equation in logarithmic form. Solve for x in the. Writing expressions as a logarithm, laws of logarithms, changing the base of logarithms and solving. Web worksheet by kuta software llc. Web exponents and logarithms work well together because they undo each other (so long as the base a is the same): Logarithmic function find the value of y. Web these worksheets explain how to convert logarithmic expressions into exponential form.