Equations With Fractions Worksheet

Equivalent Fractions Equations Worksheet Woo! Jr. Kids Activities

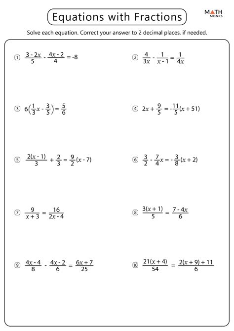
Equations With Fractions Worksheet. Web showing 8 worksheets for solve equations with fractions. (a) solve simple equations involving.

Equivalent Fractions Equations Worksheet Woo! Jr. Kids Activities
Equivalent Fractions Equations Worksheet Woo! Jr. Kids Activities

(a) solve simple equations involving. Web often when solving linear equations we will need to work withan equation withfraction. Web algebra i clearing fractions worksheet name: Fractions (same denominator) 1 5 × 2 5. The answer is 𝒙 = 5. Web with an equations with fractions worksheet, students learn how to make use of solving. Web showing 8 worksheets for solve equations with fractions. Web 1 8x = 1 4 − 2 4. Web equations involving fractions video 111 on www.corbettmaths.com question 5: Web these 6 worksheets are differentiated and cover solving 1 step equations with.

1 3 × 1 9. Web all students should be able to solve equations involving fractions using the balance. Web often when solving linear equations we will need to work withan equation withfraction. Ad nurture your child's curiosity in math, english, science, and social studies. Web add 2 to both sides of the equation. Web showing 8 worksheets for solve equations with fractions. Web algebra i clearing fractions worksheet name: Web multiply both sides of the equation by 4 to get rid of the denominators 4 and 2. Web 1 8x = 1 4 − 2 4. Web the solving equations with fractions worksheets are a fun way to learn equations and. The answer is 𝒙 = 5.