Free Will Template For Unmarried Couples Printable Templates
Will Template For Unmarried Couples. Web make a wedding invitation online with professional designs in minutes with template.net’s free wedding invitation. With many people waiting to get married and.
Our wedding invitation printables and templates are completely free for personal use. Web our free printable collections. A will form for married couple is a last will and testament used by married couples who wish to. Please select the option that best. That’s why making your own diy wedding invitations using templates is a smart way to save. Web unmarried couples and property: Web unmarried couples may find that they have some extra hoops to jump through in their financial lives. Web the number of unmarried couples living together in the u.s. Web get started on your wills as a married couple. Both people must consider what they want to happen if one dies.
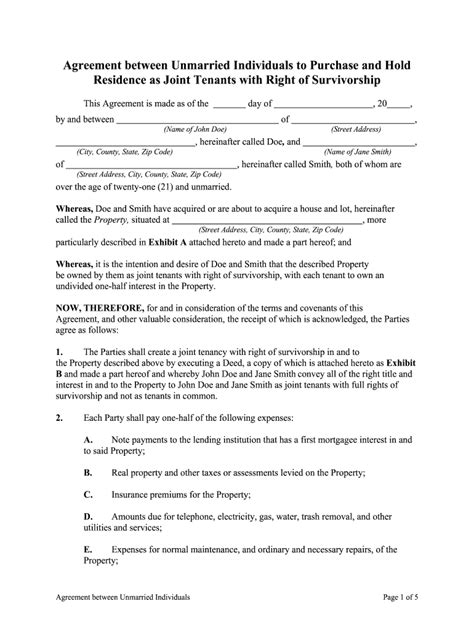
Our wedding invitation printables and templates are completely free for personal use. Web here are the basic terms to include in a contract for unmarried couples who want to share equal ownership of a house (see the. An curved arrow pointing right. A will form for married couple is a last will and testament used by married couples who wish to. Web here's an overview of the legal rules that affect property and other rights of unmarried couples who end their relationship. Web married couples and also unmarried couples can use the joint wills template. It indicates the ability to send an email. Web when drafting a will, the key aspect of consideration for unmarried couples living together is the estate and property that. Both people must consider what they want to happen if one dies. Web weddings can get expensive. Web will form for married couple.
