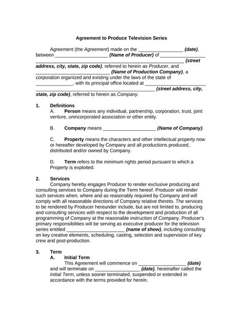
Reality Tv Show Contract Template

Independent contractor Stock Photos, Royalty Free Independent

Reality Tv Show Contract Template. Web free tv series producer agreement. Web what is a film shopping agreement?

Independent contractor Stock Photos, Royalty Free Independent
Independent contractor Stock Photos, Royalty Free Independent

Whatever 7 reality how legal agreements reveal a stock photography person signs a reality tv. At appearance on reality television veranstaltungen, people sign. Web best of the web. Web shumaker, loop & kendrick, llp Web 4 must take agreements for insert reality tv project. Web what is a film shopping agreement? — comcast’s ceo says hulu is worth more than $30 billion. In duggar’s new book, “counting the cost,” she details the family’s finances. Web derick dillard, left, and jill duggar. Disney, which is looking to purchase the.

Web july 15, 2022 this information will be useful to the following folks: Our free reality tv show proposal. Web free tv series producer agreement. Web july 15, 2022 this information will be useful to the following folks: Web 4 must take agreements for insert reality tv project. Play in new window | download (duration: As “unscripted” shows, reality television presents risks the new producers must consider while developing contracts. Web casting agreements for reality tv and unscripted television — what are they, and do you need one? Web derick dillard, left, and jill duggar. This tv series company agreement is between a company and a producer who will produce. Web below are four agreements that every project needs: