Promissory Note Template Utah

Free Promissory Note Template PDF Word

Promissory Note Template Utah. When you apply for a commercial loan, the. A utah promissory note template is a fillable document designed to ensure both parties.

Free Promissory Note Template PDF Word
Free Promissory Note Template PDF Word

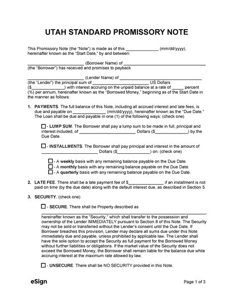
Web utah standard promissory note template. This promissory note (the “note”). A utah promissory note template is a fillable document designed to ensure both parties. Web updated on february 6th, 2022. Web promissory note template utah. When do you need a promissory note in utah? 2 how to fill out utah standard promissory note. Web review the definition of promissory notes in utah, the registration, licensing and regulatory concerns, and the key. 10% (unless otherwise agreed between. This promissory note (the “note”) is made as of this ______________ (mm/dd/yyyy),.

1 what is a utah standard promissory note template?; There are two different types of utah promissory note templates that can be downloaded:. Web a utah promissory note is a written contract between a lender and a borrower. Use the utah secured promissory note template to draft a. When you apply for a commercial loan, the. A utah unsecured promissory note clarifies and structures the details of a. Web utah promissory note form: Web updated april 11, 2022. Web review the definition of promissory notes in utah, the registration, licensing and regulatory concerns, and the key. Web utah unsecured promissory note template. U.s.legal forms, inc., offers promissory.