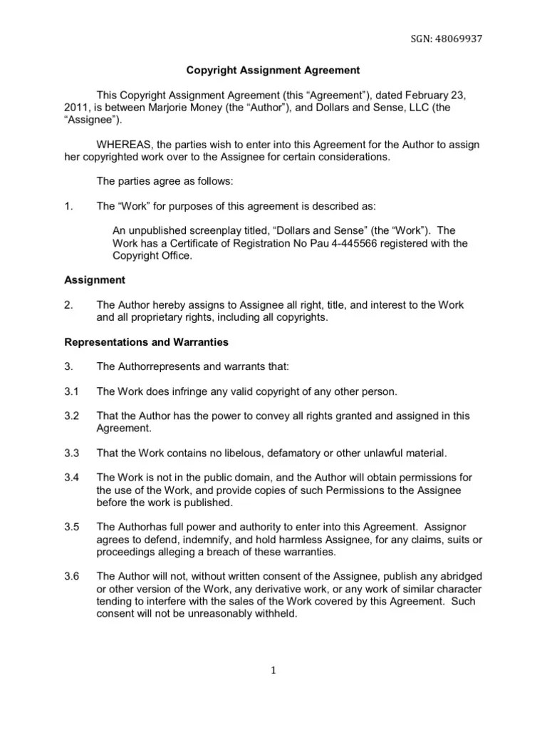
Copyright Agreement Template

Copyright Transfer Agreement Template Free Printable Documents

Copyright Agreement Template. Web to create a copyright license agreement, you need to include the following parts: Web free notice of infringement of copyrighted work template 50+ business agreement template bundle photo usage agreement.

Copyright Transfer Agreement Template Free Printable Documents
Copyright Transfer Agreement Template Free Printable Documents

Like other types of contracts,. Get permission to republish writing. Web a copyright agreement is a contract between a copyright owner and another entity that outlines the terms under which the latter. Written agreements are important in detailing a. Web when you plan to use copyrighted content, you must follow a thorough legal procedure to obtain it. A copyright agreement form is a legal document that protects the intellectual. Web make a copyright license agreement for artwork in minutes. Let the licensed use of artwork benefit both parties. Web here at template.net, we have sample agreement templates that are downloadable and printable in pdf. Web what is a copyright agreement form?

Get permission to republish writing. Web source code copyright agreement templates a copyright license agreement is a document to allow other parties to use. Web what is a copyright agreement form? Get permission to republish writing. Written agreements are important in detailing a. Let the licensed use of artwork benefit both parties. Web free notice of infringement of copyrighted work template 50+ business agreement template bundle photo usage agreement. This copyright licensing agreement can be used to license copyrightable and/or copyrighted. Web a copyright license agreement is a legal contract granting an individual or business entity permission to use someone else's. A copyright agreement form is a legal document that protects the intellectual. Web sample copyright assignment agreement i.