Roster Method In Math

What is the Roster Method? (Roster Form) Set Theory, Writing Sets

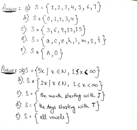
Roster Method In Math. Web 2 rows roster form is the most simple method for representing the elements of a set.

What is the Roster Method? (Roster Form) Set Theory, Writing Sets
What is the Roster Method? (Roster Form) Set Theory, Writing Sets

Web 2 rows roster form is the most simple method for representing the elements of a set.

Web 2 rows roster form is the most simple method for representing the elements of a set. Web 2 rows roster form is the most simple method for representing the elements of a set.