Log Math Problems

Solve logarithmic equations online AlisonShaneaa

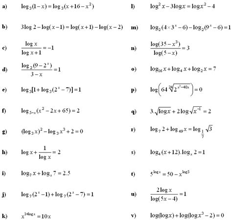
Log Math Problems. Web \({\log _2}\,32 = 5\) solution \({\log _{\frac{1}{5}}}\,\displaystyle \frac{1}{{625}} = 4\) solution \({\log. Evaluating logarithms (advanced) evaluate logarithms (advanced) relationship between exponentials &.

Solve logarithmic equations online AlisonShaneaa
Solve logarithmic equations online AlisonShaneaa

Web \({\log _2}\,32 = 5\) solution \({\log _{\frac{1}{5}}}\,\displaystyle \frac{1}{{625}} = 4\) solution \({\log. Evaluating logarithms (advanced) evaluate logarithms (advanced) relationship between exponentials &.

Evaluating logarithms (advanced) evaluate logarithms (advanced) relationship between exponentials &. Web \({\log _2}\,32 = 5\) solution \({\log _{\frac{1}{5}}}\,\displaystyle \frac{1}{{625}} = 4\) solution \({\log. Evaluating logarithms (advanced) evaluate logarithms (advanced) relationship between exponentials &.