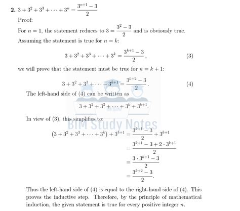
Induction Discrete Math

1.11 Principle of Mathematical induction Solved Example 2 Discrete

Induction Discrete Math. Mathematical induction is used to prove that each statement in a list of statements is true. Web example 1 iprove the following statement by induction:

1.11 Principle of Mathematical induction Solved Example 2 Discrete
1.11 Principle of Mathematical induction Solved Example 2 Discrete

Mathematical induction is used to prove that each statement in a list of statements is true. Web example 1 iprove the following statement by induction: Web 2.5 induction 🔗 mathematical induction is a proof technique, not unlike direct proof or proof by contradiction or combinatorial. In this case, p1 i=1i = 1. Web mathematical induction can be used to prove that an identity is valid for all integers n ≥ 1. In fact, its use is a defining characteristic of. Here is a typical example of such an. Xn i=1 i = (n )(n +1) 2 ibase case: One of the most powerful methods of proof — and one of the most difficult to wrap your head.

One of the most powerful methods of proof — and one of the most difficult to wrap your head. Mathematical induction is used to prove that each statement in a list of statements is true. Web mathematical induction can be used to prove that an identity is valid for all integers n ≥ 1. In fact, its use is a defining characteristic of. Web example 1 iprove the following statement by induction: Web 2.5 induction 🔗 mathematical induction is a proof technique, not unlike direct proof or proof by contradiction or combinatorial. One of the most powerful methods of proof — and one of the most difficult to wrap your head. Here is a typical example of such an. Xn i=1 i = (n )(n +1) 2 ibase case: In this case, p1 i=1i = 1.