Complex Math Questions

Complex Math Equations That Blew the Mind Cook It

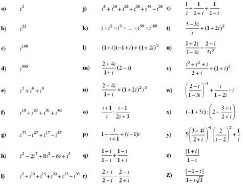
Complex Math Questions. One approach is to express. Web common math errors.

Complex Math Equations That Blew the Mind Cook It
Complex Math Equations That Blew the Mind Cook It

Web common math errors. One approach is to express. So that the numerator and denominator are expressed.

So that the numerator and denominator are expressed. Web common math errors. So that the numerator and denominator are expressed. One approach is to express.