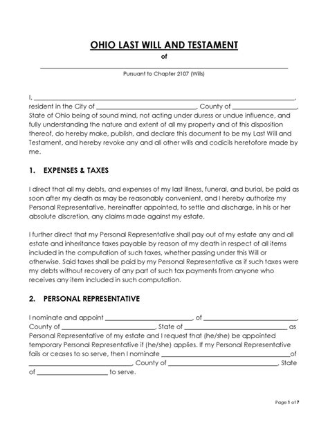
State Of Ohio Last Will And Testament Form

Free Fillable Ohio Last Will and Testament Form ⇒ PDF Templates

State Of Ohio Last Will And Testament Form. Web a last will and testament is one of the most important legal documents a person can create during his or her lifetime. Web here’s everything you need to know about making your last will and testament in ohio, as of january 2022.

Free Fillable Ohio Last Will and Testament Form ⇒ PDF Templates
Free Fillable Ohio Last Will and Testament Form ⇒ PDF Templates

Web need to create a last will? Web ohio last will and testament form. Web a last will and testament is one of the most important legal documents a person can create during his or her lifetime. Specify your details (if you are the testator). Decide on the most important content of your will. You must sign the end of your will or acknowledge it in front of two witnesses, and your witnesses must sign your will in front of you. Ohio wills permit the testator,. Any adult over age 18. You must meet the following requirements: Web a last will and testament is an important step in planning the distribution of your estate (real and personal property) upon your death.

Application for change of name of adult; Web in ohio, the last will and testament must be created by someone 18 years or older. Affidavit in support of application for change of name. Ohio last will and testament. Learn the facts and get the will you need. Web need to create a last will? Web a last will and testament is an important step in planning the distribution of your estate (real and personal property) upon your death. A properly executed will is valid as long as it is not revoked. Web how to make a will in ohio 1. Determine if you want to use a lawyer or do it yourself. Web a sample ohio last will and testament with examples of each step.