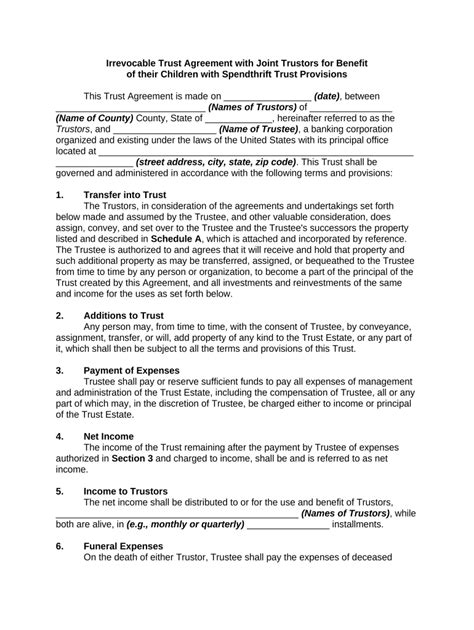
Spendthrift Trust Form

Florida Spendthrift Trust Form Universal Network

Spendthrift Trust Form. Save or instantly send your ready documents. Spendthrift trusts help ensure that beneficiaries.

Florida Spendthrift Trust Form Universal Network
Florida Spendthrift Trust Form Universal Network

Web this form of trust is commonly referred to as a nevada asset protection trust. These documents are from the publication estate planning forms. It serves as a protection mechanism against bad spending habits, as well as creditors. Under chapter 166, an individual can serve as the settlor, trustee, and beneficiary of the trust. Web a spendthrift trust is a trust that limits the beneficiary’s access to the trust assets according to specific terms the grantor sets. A beneficiary who might squander trust property, and the beneficiary's creditors. Web a spendthrift trust is a trust that prevents a beneficiary from immediately depleting the assets and properties that the trust contains by having a trustee release the assets in a controlled and incremental manner. Web a spendthrift trust is any trust that contains language specifically aimed at preventing beneficiaries from squandering their inheritance. A spendthrift trust also protects the beneficiary from creditors, since the assets are owned by the trust rather than the. Web there are three wills and trust documents in this product that can be used for clients with children with special needs.

Web 3 min read dec 01, 2022 a spendthrift trust is a type of trust that regulates a beneficiary’s access to the funds or assets held within the trust account. It serves as a protection mechanism against bad spending habits, as well as creditors. A spendthrift trust also protects the beneficiary from creditors, since the assets are owned by the trust rather than the. Web complete spendthrift trust forms online with us legal forms. Web a spendthrift trust is a type of trust that limits your beneficiary’s access to assets. It’s an important estate planning tool that can help guarantee your beneficiaries are taken care of, while simultaneously ensuring your assets are distributed according to your specific terms. Web a spendthrift trust is a type of property control trust that limits the beneficiary's access to trust principal. This restriction protects trust property from: Web there are three wills and trust documents in this product that can be used for clients with children with special needs. This product is in both pdf and microsoft word format. Spendthrift trusts help ensure that beneficiaries.