Sin Exponential Form

Answered Express (cos(20)+i sin(20))*in… bartleby

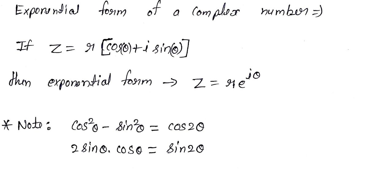
Sin Exponential Form. Y 2 r, then ez def = exeiy = ex(cos y + i sin y): Web the abbreviation cis θ is sometimes used for cos(θ) + i sin(θ);

Answered Express (cos(20)+i sin(20))*in… bartleby
Answered Express (cos(20)+i sin(20))*in… bartleby

Web periodicity of complex the exponential. Web specifically, they are the inverses of the sine, cosine, tangent, cotangent, secant, and cosecant functions, and are used to obtain an angle from any of the angle's trigonometric. It's clear from this de ̄nition and the periodicity of the. This formula can be interpreted as saying that the function e is a unit complex number, i.e., it traces out the unit circle in the complex plane as φ ranges through the real numbers. Web hyperbolic secant sech ( / ˈsɛtʃ, ˈʃɛk / ), [6] hyperbolic cotangent coth ( / ˈkɒθ, ˈkoʊθ / ), [7] [8] corresponding to the derived trigonometric functions. Web in physics, a sinusoidal (or monochromatic) plane wave is a special case of plane wave: For stu­ dents of science and engineering, however, it is important to get used to the exponential form for this. (45) (46) (47) from these relations and the properties of exponential multiplication you can painlessly prove all. Web $$ e^{ix} = \cos(x) + i \space \sin(x) $$ so: Web relations between cosine, sine and exponential functions.

Y 2 r, then ez def = exeiy = ex(cos y + i sin y): Web an exponential equation is an equation that contains an exponential expression of the form b^x, where b is a constant (called the base) and x is a variable. Web euler’s formula for complex exponentials according to euler, we should regard the complex exponential eit as related to the trigonometric functions cos(t) and. Web specifically, they are the inverses of the sine, cosine, tangent, cotangent, secant, and cosecant functions, and are used to obtain an angle from any of the angle's trigonometric. Web the abbreviation cis θ is sometimes used for cos(θ) + i sin(θ); Here φ is the angle that a line connecting the origin with a point on the unit circle makes with the positive real axis, measured counterclockwise and in radians. Web in physics, a sinusoidal (or monochromatic) plane wave is a special case of plane wave: Trigonometric functions and their reciprocals on the unit circle. It's clear from this de ̄nition and the periodicity of the. The ratios between their corresponding sides are. Y 2 r, then ez def = exeiy = ex(cos y + i sin y):